1. OFDR based 2D Shape Sensing Principle
The principle of OFDR shape sensing involves attaching an optical fiber to the object to be measured. When the shape changes, OFDR technology is used to collect strain data within the optical fiber. This data is then processed using specific algorithms to reconstruct the shape of the optical fiber (i.e., the shape of the object under test).
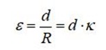
Reconstructing the fiber shape approximates reconstructing a spatial curve. Neglecting temperature effects and considering pure bending, the strain data of the sensing point obtained by OFDR can be converted into curvature data for that point, namely:

Where ε is the strain induced by bending, d is the distance between the strain measurement point and the neutral axis (i.e., the thickness of the object under test), R is the bending radius, and k is the curvature at that point.

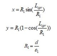
Using the strain acquisition spatial resolution as the fundamental unit length for shape reconstruction, i.e., |OA| = Lspr in Figure 1. After bending occurs, point A rotates to point A'. The coordinates of point A' are then:

For the coordinates of the next fundamental unit, point B, a similar formula can be used to represent it in the x₁y₁ coordinate system. By rotating the obtained coordinates by θ₂, the coordinate increment of point B transformed into the xy coordinate system can be obtained. By analogy, rotating the coordinates of all subsequent points by their respective angles yields all points on the optical fiber in the original coordinate system. Connecting these points with a smooth curve gives the shape of the optical fiber.
2. OFDR Shape Sensing Accuracy
During OFDR optical fiber shape reconstruction, the position of a subsequent point depends on the position and coordinate increments of the preceding point. Calculation errors introduced by factors such as changes in the optical properties of the fiber and strain measurement accuracy accumulate along the entire curve. Therefore, the longer the measurement length, the greater the error at the end of the optical fiber.

To ensure shape measurement accuracy, we generally recommend a sensing length of 2-3 meters. The specific length required should be determined based on practical analysis. Typically, the positional error for OFDR shape sensing along the fiber length direction is approximately 0.3%. For example, the error at 1 meter is 1m * 0.3% = 0.003m.